The Standard Model describes the interactions of particles and the forces surrounding us. While the Standard Model is a precise model, it had a missing piece – it didn’t account for the mass of the particles we observe around us every day. So, where does mass come from?

The Standard Model of Physics
In the 1960s, scientists such as Peter Higgs, Robert Brout and François Englert, and others independently came up with a solution to this problem: a mechanism that gives mass to fundamental particles.

François Englert (left) and Peter Higgs at CERN on 4 July 2012, on the occasion of the announcement of the discovery of a Higgs boson by the ATLAS and CMS experiments (Image: Maximilien Brice/CERN)
This mechanism, known as the “Higgs mechanism” describes the Higgs field – an invisible field that permeates the entire universe that gives fundamental particles mass when they interact with it. The more a particle interacts with the Higgs field, the more massive it is.
As a result of excitation of the Higgs field, which occurs when something interacts with it, a Higgs boson is produced.
The Higgs boson is a massive particle and only lives for less than a trillionth of a billionth of a second. You might be wondering at this point: if the Higgs boson didn’t live for long, how did it get detected?
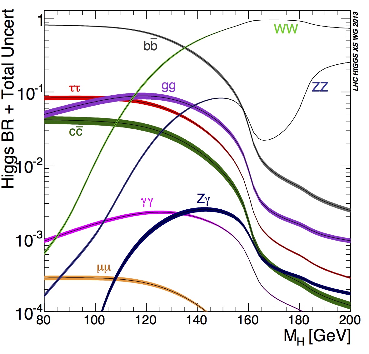
Massive particles tend to decay quickly into more stable and lighter particles. About 60% of the time, the Higgs boson decays into a pair of bottom quarks but this decay route was not detected until 2018, 6 years after the Higgs boson discovery. This was because there are many other ways of producing a pair of bottom quarks in proton-proton collisions, making it difficult to detect the Higgs boson decay signal from this background “noise”.

The Standard Model Higgs boson decay branching ratios and total width are shown in the figure above. You can see that the decay modes change in prominence depending on the mass of the Higgs, MH
Instead, the CMS and ATLAS experiments at the Large Hadron Collider collected enough evidence of a "Higgs-like" particle by detecting its decay into a pair of photons. This decay route is rare, but it was easier to isolate from the background “noise” and hence easier to detect.
Candidate Higgs boson event from collisions between protons in the CMS detector on the LHC. From the collision at the centre, the particle decays into two photons (dashed yellow lines and green towers) (Image: CMS/CERN)
Scientists have been measuring the properties of the Higgs boson and attempting to understand it better over the past decade.
Other than looking for more Higgs bosons and measuring their properties, scientists all over the world are also looking for signs of the elusive dark matter in the world's most powerful particle accelerator.